全國服務熱(rè)線:
提供(gòng)專業的産品(pin)服務專注于(yú)服務一體化(huà)
當前位置:網(wang)站首頁 > 産品(pǐn)展示 > 液下式(shì)渣漿泵
Products
山東宁波彩和零部件制造有限公司(3G网站)
聯(lian)系人:李經理(li)
手機:
電話:
郵(you)箱:[email protected]
網址:www.cantonpower.cc
地址(zhi):山東淄博市(shi)博山區安上(shang)工業園
YZ(S)型立式渣漿(jiang)泵
YZ(S)液下式(shì)(立式)重型渣(zhā)漿泵
2BE(V)系列真(zhen)空泵
YW型(xíng)液下長軸泵(bèng)
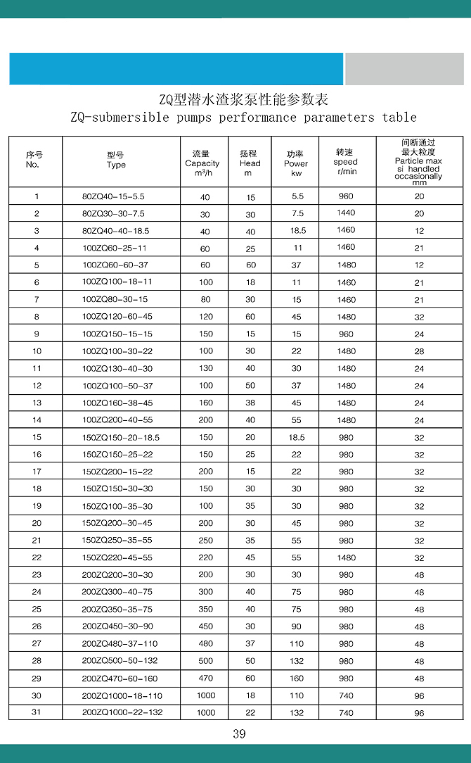
ZQ潛(qian)水渣漿泵系(xi)列
手機浏覽(lǎn)
關注我們
Copyright © 2018 cantonpower.cc All rights reserved. 魯ICP備19013132号(hao)-1
版權所有:山(shān)東宁波彩和零部件制造有限公司(3G网站) 聯系人:李(li)經理 手 機:
電(dian) 話: 郵 箱:[email protected]
公司(sī)地址:山東省(shěng)淄博市博山(shan)區安上工業(yè)園